好房網News記者蔡孟穎/整理報導
民以食為天,追逐美食是人之常情,如果能住在被美食環繞的地區,對饕客來說應是一大幸福事,而有著「美食一級戰區」的新北市下新莊地區,一樣有隱藏版美食,讓在地人都笑說「有在控制體重的絕對不能住這」!從早餐到消夜都讓人很罪惡。
想減肥不能住這裡!讓在地人都受不了的美味,以新莊區四維路為主的傳統市場,從早就開始搶攻饕客的胃,爆漿手工蛋餅、滷蛋飯糰都受到網友激推,而隨著天色漸暗,一家家巷子內的隱藏版美食就會陸續上工,像客家麵食、日本拉麵、港式雞蛋仔、鹹酥雞等,每攤到了晚上總大排長龍。
新莊四維路美食(圖/翻攝自臉書社團愛.新莊)

被當地人封為美食一級戰區的四維市場,屬於鴻金寶生活圈,吃飯以四維路為主,而生活用品採買、金融機構等基本生活機能則聚集民安路和龍安路上,區域內有六座小公園、一座影城商場、三所小學、一所國中和一間公共托兒中心,距離捷運丹鳳站步行約10分鐘的距離。
新北市新莊區四維路周邊隱藏版美食多(圖/翻攝自google map)

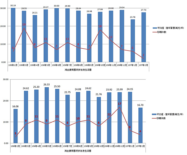
想入住鴻金寶生活圈,根據新北市地政局公布的房價統計資料顯示,目前該區大樓平均交易單價為27.73萬元,公寓近一年交易價亦落在2字頭,不過實價登錄揭露的交易資訊,已出現1字頭交易,促2月平均單價跌到16.7萬,均低於整個新莊區的平均單價34.2萬元,房價為相對親民的區域。
新莊鴻金寶生活圈房價行情,上表為大樓,下為公寓(圖/翻攝自新北市地政局)


