聯合報記者賴佩璇、鄭國樑/桃園報導
桃園市議員周玉琴昨(18)日針對新竹客運停駛、台灣鐵路局區間車已經驟減30班等問題,要求市府主動啟動因應機制關懷通勤族。桃園市長鄭文燦表示,「這個我們會跟台鐵反映。」
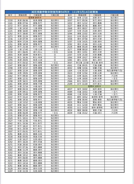
台鐵區間火車5月14日起驟減30班次,新竹客運預計於今年9月營運許可證到之後,將有34條公車路線停駛,其中3條與桃園有關,周玉琴昨天在市議會總質詢,要求市府更積極啟動因應作為關懷通勤族。

周玉琴憂心台鐵停駛30班次區間列車,超過10幾個班次是學生、上班族通勤尖峰時段列車,突如其來的停駛,打亂通勤族作息,市府應即刻與鐵路局協調,停駛的列車班次,應避開通學、通勤時段。
鄭文燦說,「我們來跟台鐵商量。」通勤時段要優先,尖峰離峰可以有不同的班距,尖峰要密一點,離峰班距疏一點沒關係,請交通局要特別關注。
此外,楊梅鄉親9月間還要對面新竹客運停駛困境,周玉琴也要求市府盡早協調其他公車業者補上新竹客運預計停駛的路線,也應朝著增加楊梅區免費市民公車班次與路線,甚至研議建置預約App開辦由計程車,或九人座小巴替代的「類公車」方式,解決楊梅等偏鄉所面臨到的大眾運輸縮減困境。

